2021년 5월 27일 목요일

복층유리의 태양방사 투과율 계산방법

 복층유리 태양방사투과율(Te%)


태양방사 투과율이 무엇 인지에 에 관한 내용은 "(태양방사투과율 이란?")을 참조하기 바란다.

복층유리의 태양방사투과율을 계산하려면 우선 구성된 복층유리의 스펙트럼(300~2 500nm)을 계산하여야 한다.

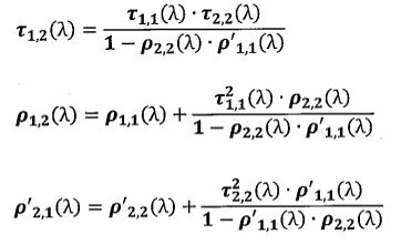
복층유리의 스펙트럼을 계산 수식은 다음과 같으며


           여기에서

                        て1,1 : 실외측 유리의 투과율 (300nm ~ 2 500nm)

                        て2,2 : 실내측 유리의 투과율

                         ρ1,1 : 실외측 유리의 실외측에서의 반사율

                         ρ'1,1 : 실외측 유리의 실내측에서의 반사율

                         ρ2,2 : 실내측 유리의 실외측에서의 반사율

                         ρ'2,2 : 실내측 유리의 실내측에서의 반사율


투과율(て1,2), 실외쪽 반사율(ρ1,2), 실내쪽 반사율(ρ'1,2) 수식을 사용하면 계산 가능하다.


태양방사투과율(Te%) 계산인 경우에는 투과율 스펙트럼(て1,2)을 사용하고 태양방사반사율(Re%(실외측) & Re%(실내측)) 계산인 경우에는 실외측(ρ1,2), 실내측(ρ'1,2) 반사율 스펙트럼을 사용하여 계산하면 된다.

복층유리에 대한 태양방사율 계산은 복층유리를 구성하는 두 장의 유리에 대하여 총 6종류의 투과율과 반사율 스펙트럼을 측정하고 단판유리의 태양방사투과율 계산방법"(단판유리의 태양방사투과율 계산방법)과 동일한 방법으로 계산할 수 있다.


         * TE% (AM=1.5) : 태양방사투과율
         * RE% (Ext) : 태양방사반사율(실외측)
         * RE% (Int) : 태양방사반사율(실내측)


위 표는 6CL + 12A + 6CL 로 구성된 복층유리에 대한 태양방사율을 계산한 결과이다.

참고로 n장으로 이루어진 복층유리의 스펙트럼 계산은 "(복층유리 스펙트럼 계산방법")을 참고하기 바란다.




2021년 5월 26일 수요일

복층유리 스펙트럼 계산방법

 오복층유리 스펙트럼 계산


여러 장의 유리로 구성된 복층유리의 스펙트럼은 복층유리로 제작한 시료를 직접 측정하는 것이 아니라 복층유리를 구성하는 각각의 유리를 분리하여 투과율 및 반사율(코팅면, 유리면) 스펙트럼을 측정하고 측정된 스펙트럼을 사용하여 복층유리 스펙트럼을 다음 수식으로 계산할 수 있다.

오중 복층유리


n 장의 유리판으로 된 구성체에서 실외 쪽부터 세어 i 번째까지의(j-i+1)장의 유리판으로된 부분의 구성체의 분광투과율(てi,j), 실내,외쪽 분광반사율(ρi,j) 및 흡수율(nαj)은 다음 식으로 구한다.





                     여기에서


예를 들어 오복층유리에 대한 투과율 및 반사율 계산 수식은 다음과 같다.




위 수식에 포함된 て1,4(투과율),  ρ1,4(실외측 유리면 반사율),  ρ'4,1(실내측 코팅면 반사율) 등의 수식도 같은 방법으로 만들면 아래와 같고,




이와 같은 방법으로 오복층유리의 투과율, 반사율 스펙트럼을 계산하려면 모두 20여개 정도의 수식을 필요로 하며, 필요한 수식을 동일한 방법으로 만들어 5nm 간격으로 측정된 스펙트럼 data를 작성한 수식에 대입하고 파장별로 스펙트럼을 계산하면 n장으로 구성된 복층유리의 투과, 반사 스펙트럼을 얻을 수 있다.

복층유리의 단열성이나 태양열 취득율을 계산하려면 복층유리를 구성하는 각각의 유리판에 대한 흡수율 스펙트럼이 필요하며, 4장의 유리판으로 구성된 복층유리인 경우 흡수율 계산식을 위 기본수식에 대입하면 다음과 같은 수식을 얻을 수 있다.




참고로 위 기본수식(투과, 반사 및 흡수)은 "JIS R 3106: 2019 판유리의 투과율, 반사율, 방사율의 시험방법 및 건축용 판유리의 일사열취득율의 계산방법"을 참조하였으며, 동일한 내용을 포함하는 "KS L 2514: 2011 판유리의 가시광선 투과율, 반사율, 방사율, 태양열취득률, 자외선 투과율, 연색성 시험방법" 규격에서 제시하는 수식에는 오류가 있음을 밝혀둔다. 


 

2021년 5월 25일 화요일

열관류율 이란?

 열관류율 (U-Value) 


열관류율이란 표준 조건(steady-state conditions)에서 물체를 통과한 열이 이동하는 총량을 말하며, 전도, 대류, 복사를 통하여 이동한 열의 합으로서 창유리의 표면적이 1m² 인 구조체를 사이에 두고 겨울 밤 또는 여름 낮 조건에서 열이 통과한 량의 총량을 단위 온도 당 단위 면적 당 W 값으로 나타낸 것을 말한다.

[1 Kcal / m² h K = 1.163 W / m² K]


복층유리에 대한 열관류율 계산방법은 "(복층유리의 열관류율 계산)" 자료를 참조하길 바란다. 

참고로 "KS L 2525 판유리류의 열저항 및 건축 관련 열관류율의 계산방법" 규격에 정의 되어 있는 정의는 다음과 같다.

열관류율(U값, thermal transmittance) : 건축물 외벽 유리창에서 실외 쪽의 주위 공기 온도와 실내 쪽의 주위 온도와의 차 1K 당의 한 장의 유리판 또는 복층유리의 중앙부를 관류하는 열유속.

그리고 한 장의 유리판 또는 복층 유리의 실외 쪽. 실내 쪽 표면 온도와 각 쪽의 주위 공기 온도와의 차 1K당 열유속을 표면 열전달률(thermal transfer coefficient)이라 한다.

[비고] 이 정의의 이론 모델에서는 유리 표면과 열방사 교환하는 주위의 물체, 천공 등의 온도는 공기 온도와 같은 것으로 한다. 

열저항(thermal resistance) : 열컨덕턴스의 역수, 판유리류의 양 표면 사이 또는 복층유리의 중공층에 접하는 두 면 사이에 생기는 열유속 1 W/m² 당 온도차.

열컨덕턴스(thermal conductance) : 판유리류의 양 표면 사이 또는 복층 유리의 중공층에 접하는 두 면 사이의 온도차 1K당 열유속, 열전도도라고도 한다.


<프로그램으로 계산한 복층유리에 대한 열관류율 계산 예>


수정방사율(corrected emissivity) : 복층 유리의 증공층에 접하는 두 면 사이의 열방사 교환 또는 건축물 바깥둘에 벽에서의 판유리류의 실외 쪽 실내 쪽의 주위 환경 사이의 열방사 교환에서의 유리판 표면 방사율.

[비고] 판유리 및 광학 박막을 가공한 판유리의 표면에서는 사출각도에 따라 방사율의 값이 다르다. 일반적으로 주위 물체와의 열방사 교환 계산에서는 반구 방사율(hemispherical emissivity)의 값이 이용되고, 복층 유리의 중공층에 접하는 두 면 사이의 열방사 교환에서는 유효방사율(effective emissivity)이라고 불리는 값이 이용된다. KS L2525 규격에서는 양자를 구별하지 않고 수직방사율(normal emissivity)의 측정값에 수정 계수를 곱하여 환산한 값을 사용하도록 규정하고 있고 이것을 수정방사율(corrected emissivity)이라 한다.






광학 특성 계산 프로그램

유리의 광학 특성 계산 프로그램 GlasPRO_Ver2024.0403 프로그램 : GlasPRO Version : 2024.0403 설치 및 사용법 : 링크된 "GlasPRO_Ver2024.0403"를 DownLoad 후 압축 해제하...